Puutavaran ja hakkeen HCT-yhdistelmien tutkimus
24.4.2026
HCT-ajoneuvojen kokeilulupiin sisältyy tutkimusvelvoite. HCT-kokeilulupien haltijat raportoivat tutkimustuloksistaan Traficomille. Tämän sivuston tavoitteena on koota yhteen ja tiedottaa puutavaran ja hakkeen HCT-ajoneuvoja koskevista tutkimustuloksista. Sivustoa päivitetään muutaman kerran vuodessa uusien tutkimusten valmistuttua.
HCT-tutkimusten keskeisenä tavoitteena on tunnistaa ja kehittää turvallisia, ympäristöystävällisiä, tehokkaita ja liikenneinfrastruktuuria vähän rasittavia HCT-ajoneuvoyhdistelmiä. Näin ollen tutkimuksissa on kuljetus- ja lastinantajayritysten kannalta keskeistä verrata HCT-kuljetusten vaikutuksia kuljetuskustannuksiin ja arvioida HCT-ajoneuvojen käytön laajentamista kokeilujakson jälkeen. HCT-ajoneuvoyhdistelmien ulkoiset vaikutukset, siirtymäpotentiaali HCT-kuljetuksiin sekä HCT-logistiikan vaikutukset sekä yritysten että tienpidon kustannuksiin tulevat yhdessä vaikuttamaan HCT-kuljetusten mahdolliseen vakinaistamiseen kokeilukauden jälkeen sekä vakinaistamisen edellyttämiin tieliikenneinfrastruktuurin investointipäätöksiin.
Alla puutavaran HCT-tutkimuksen teemat:
Tutkimusyhteenvedot
24.4.2026
Tutkimusyhteenvetoihin on koottu raportteja, jotka koskevat useampaa tutkimusteemaa. Yksittäisiä teemoja koskevat raportit ja tulokset on esitetty teemaosioissa.
Käynnissä olevia ja valmistuneita tutkimuksia:
Venäläinen, Pirjo & Poikela, Asko (2026) Puutavara- ja hakeajoneuvojen massojen noston vaikutukset – 5. väliraportti. Metsätehon raportti 279. Linkki julkaisuun
Venäläinen, Pirjo & Poikela, Asko (2026). Puutavara- ja hakeajoneuvojen massojen noston vaikutukset – Yhteenveto. Metsätehon tuloskalvosarja 7/2026. Linkki julkaisuun
Venäläinen, Pirjo & Poikela, Asko (2023) Impacts of Higher Vehicle Weights on Timber and Chip Transportation in Finland. Metsäteho Result Series 11/2023. Linkki julkaisuun
Venäläinen, Pirjo (2018). Puutavara- ja hakeajoneuvojen pidentämisen vaikutukset. Metsätehon raportti 246 (3.1.2019 päivitetty versio). Linkki julkaisuun
Venäläinen, Pirjo & Korpilahti, Antti (2015). HCT-ajoneuvoyhdistelmien vaikutus puutavarakuljetusten tehostamisessa. Työ- ja elinkeinoministeriön julkaisuja. Linkki julkaisuun
Lisätietoja: Erikoistutkija Pirjo Venäläinen, Metsäteho Oy, puh. 040 8214 942
HCT-yhdistelmät
9.2.2026
Suomen HCT-kokeiluissa on ollut mukana parikymmentä yli 76-tonnista puutavara- ja hakeyhdistelmää ja reilu kymmenen muuta ajoneuvoyhdistelmää. Yhdistelmien kokonaismassa on vaihdellut 80–104 tonnin välillä ja kokonaispituus 24,2–35 metrin välillä. Metsätehon raporttiin (Venäläinen 2026) on koottu perustiedot kokeiluyhdistelmistä sekä yhteenveto yhdistelmien tekijöistä, jotka vaikuttavat kuljetuskustannuksiin, päästöihin sekä tie- ja siltarasitukseen. Raportissa on myös tunnistettu tiedossa olevat ns. tyyppiyhdistelmät, jotka ovat nykyisen sääntelyn mukaisia kokonaispainoa lukuun ottamatta.
Haastattelututkimuksella (Venäläinen ja Poikela 2021) selvitettiin kokeiluihin osallistuneiden autokuljetusyritysten ja metsäyhtiöiden sekä kuorma-auto-, perävaunu- ja vetolaitevalmistajien näkemyksiä soveltuvimmista yli 76-tonnisista HCT-yhdistelmistä puutavara- ja hakekuljetuksissa. Pääosin haastatteluissa nousivat esille kokeiluissa jo mukana olleet yhdistelmätyypit. Lisäksi nousi esille jonkin verran muitakin ratkaisuita (esimerkiksi kokeiluyhdistelmistä eroavia kokonaispainoja tai -pituuksia sekä linkkiperävaunuihin ja pikakiinnitteisiin akseleihin perustuvia ratkaisuita).
Haastatteluissa esitettiin eriäviä näkemyksiä eri kokoluokkien HCT-yhdistelmien hyödynnettävyydestä tiestön, kustannustehokkuuden ja liikenneturvallisuuden kannalta. Toisaalta monessa haastattelussa pidettiin tärkeänä, että erilaisia HCT-yhdistelmiä on tarjolla kunkin kuljetusyrityksen ja sen toiminta-alueen tarpeisiin. Haastatteluissa tunnistettiin monia keinoja hyödyntää samoja yhdistelmiä sekä korkeintaan että yli 76-tonnisena (esim. perävaunujen ja vetoautojen erilaiset yhdistelyt ja vaihdot yhdistelmien välillä tai 84-tonnisten yhdistelmien ajaminen 76-tonnisena heikon kantavuuden tieosuuksilla tai ajanjaksoina).

Puukuljetusyrittäjille suunnatussa kyselytutkimuksessa (Palander ym. 2023) selvitettiin mm. yrittäjien näkemyksiä parhaista yhdistelmistä puukuljetuksissa. Metsästä lähteviin tukki- ja kuitupuukuljetuksiin vastaajista selvästi suurin osa näki 76-tonnisen yhdistelmän olevan paras ja vain muutama prosentti uskoi 84-tonnisen olevan paras ja kustannustehokkain kuljetettua kuutiota kohden. Terminaaleista lähtevän kuitu- ja tukkipuun kuljetuksiin vastaajista puolestaan neljännes näki 84-tonnisten tai tätä suurempi yhdistelmien olevan parhaita ja kustannustehokkaimpia. HCT-yhdistelmien ei nähty juurikaan olevaan paras ratkaisu energiapuun kuljetuksiin. Kyselytuloksen tulkinnassa on hyvä ottaa huomioon, että vain pienellä osalla yrittäjistä on omakohtaista kokemusta HCT-yhdistelmistä.
Käynnissä olevia ja valmistuneita tutkimuksia:
- Venäläinen, Pirjo (2026) HCT-ajoneuvoyhdistelmät. Metsätehon tuloskalvosarja 2/2026. Linkki julkaisuun
- Palander, Teuvo, Viitamäki, Kimmo & Borz, Stelian Alexandru (2023) Impacts of using larger and heavier vehicles on operations and profitability of timber transportation: The case of Finnish operating environment. Annals of Forest Research, 66(2). Linkki julkaisuun
- Venäläinen, Pirjo & Poikela, Asko (2021). Puutavaran ja hakkeen HCT-yhdistelmät ja kuljetusketjut – Yrityshaastatteluiden tulokset. Metsätehon tuloskalvosarja 5/2021. Linkki julkaisuun Lisätietoja: Erikoistutkija Pirjo Venäläinen, Metsäteho Oy, puh. 040 8214 942
Kuljetustalous
24.4.2026
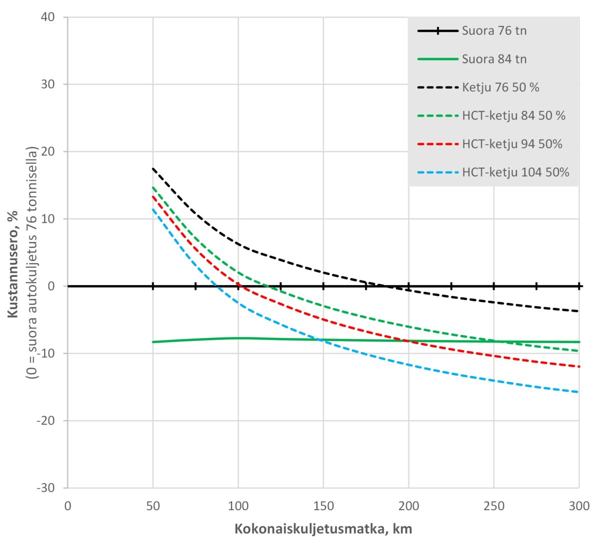
Ajoneuvon kokonaispainon kasvaessa hyötykuorman suhteellinen osuus kokonaispainosta nousee. Metsäteho Oy:n laskelmien mukaan HCT-yhdistelmillä saavutetaan puutavaran kuljetuksissa parhaimmillaan 3 – 16 %:n ja hakekuljetuksissa 2-17 %:n säästö kuljetettua kuutiota kohden (riippuen kuljetusmatkasta ja HCT-yhdistelmän koosta). Suurimmat HCT-ajoneuvot eivät useinkaan pysty ajamaan käyttökohteeseen suoraan metsästä, joten käytännössä siirtokuormaus matkalla on usein tarpeen. Tämä vähentää ko. HCT-kuljetusten kustannusetua. Terminaalivaiheella voi kuitenkin olla useita logistisia etuja, joita tunnistettiin Energiatehokkaat terminaalitoiminnot puutavaralogistiikassa -hankkeen yhteydessä. Siirtokuormaus voidaan myös korvata valmiiksi kuormattujen ja tyhjien perävaunujen nopealla vaihdolla. Siirtokuormaus ei ole tarpeen, kun HCT-yhdistelmää käytetään tehtaiden välisiin kuljetuksiin (esim. puutavaralajien vaihdot ja sivutuotehakkeen kuljetukset sahoilta sellutehtaisiin).

Käynnissä olevia ja valmistuneita tutkimuksia:
- Venäläinen, Pirjo & Poikela, Asko (2026). Vähähiiliset ratkaisut puun logistiikkajärjestelmissä – Osa 2: Tiekuljetukset. Metsätehon tuloskalvosarja 8b/2026. Linkki julkaisuun
- Ruokojärvi, Harri (2020) High Capacity Transport vehicles in long distance transport of forest energy wood. Master’s Thesis, University of Helsinki. Linkki julkaisuun
- Venäläinen, Pirjo (2018). Puutavara- ja hakeajoneuvojen pidentämisen vaikutukset. Metsätehon raportti 246 (3.1.2019 päivitetty versio). Linkki julkaisuun.
Kuljetusvirrat ja -kuormat
24.4.2026
Vuonna 2024 metsäteollisuuden tehtaille kuljetettiin suorina autokuljetuksina yhteensä noin 51 milj. m3 kotimaista aines- ja sivutuotepuuta (Luonnonvarakeskus). Lisäksi puun rautatie- ja vesikuljetusketjuihin sisältyy keskimäärin 50 km:n alkukuljetus (vuonna 2024 alkukuljetuksen volyymi oli 13 milj. m3) (Strandström 2025). Kiinteitä puupolttoaineita kuljetettiin lämpö- ja voimalaitoksiin yhteensä 19 milj. m3. Tästä suurin osa on metsähaketta ja metsäteollisuuden sivutuotteena syntyvää kuorta ja purua. (Luonnonvarakeskus). Kotimainen energiapuu kuljetetaan lähes täysin autoilla lyhyen keskikuljetusmatkan takia.
Suurempia ajoneuvoyhdistelmiä hyödyntämällä voidaan vähentää ajettujen kuormien lukumäärää (kun kuljetettava puumäärä pysyy samana). Tämä vähentää mm. onnettomuusriskiä. HCT-yhdistelmät vähentäisivät vuosittain jopa 84 000–184 000 puutavara- ja 35 000–124 000 hakekuormaa 76-tonnisiin yhdistelmiin verrattuna.

Väyläviraston tutkimuksissa selvitettiin HCT-kuljetusten potentiaalia eri tavaralajien kuljetuksissa sekä HCT-kuljetusten vaikutuksia rautatiekuljetusten käyttöön. Raakapuun osalta tarkastelussa oli mukana vain 84-tonniset yhdistelmät. Niiden arvioitiin vähentävän rautatiekuljetuksia varsinkin yhteysväleillä, joilla suoraa ratayhteyttä ei ole (esimerkiksi Parkanon alueelta Raumalle, Pohjois-Savosta Äänekoskelle sekä Pohjois-Savosta Lappeenrantaan, Joutsenoon ja Imatralle). Raakapuun rautatiekuljetusten arvioitiin vähentyvän 5–7 % HCT-yhdistelmien käyttöalueen laajuudesta riippuen. Siirtymäpotentiaalia pienentänee kuitenkin rautatiekuljetusten oman kilpailukyvyn parantuminen. Haketta kuljetetaan junalla vain 0,2–0,3 milj. tonnia vuodessa. Aiemman selvityksen mukaan HCT-ajoneuvoilla arvioitiin olevan suuri käyttöpotentiaali hakekuljetuksissa.
Käynnissä olevia ja valmistuneita tutkimuksia:
- Venäläinen, Pirjo & Poikela, Asko (2026). Puutavara- ja hakeajoneuvojen massojen noston vaikutukset – aiheen 5. väliraportti. Metsätehon raportti 279. Linkki julkaisuun
- Venäläinen, Pirjo (2018). Puutavara- ja hakeajoneuvojen pidentämisen vaikutukset. Metsätehon raportti 246 (3.1.2019 päivitetty versio). Linkki julkaisuun. Lisätietoja: erikoistutkija Pirjo Venäläinen, Metsäteho Oy, puh. 040 8214 942
- Lapp Tuomo, Iikkanen Pekka, Weckström Christoffer & Mäkinen Sami (2022) Rataverkon raakapuun kuormauspaikkaverkon tilanne ja tulevaisuuskuva. Väyläviraston julkaisuja 29/2022. Linkki julkaisuun
- Lapp, Tuomo & Iikkanen, Pekka (2017). HCT-ajoneuvojen liikennejärjestelmävaikutukset. Liikenneviraston tutkimuksia ja selvityksiä 57/2017. Linkki julkaisuun. Lisätietoja: Tuomo Lapp, Ramboll Finland Oy
- Venäläinen, Pirjo & Antti Korpilahti (2015). HCT-ajoneuvoyhdistelmien vaikutus puutavarakuljetusten tehostamisessa. Työ- ja elinkeinoministeriön julkaisuja. Linkki julkaisuun.
HCT-kuljetuskäytävät ja -terminaalit
13.2.2026
HCT-kuljetuskäytävillä tarkoitetaan HCT-yhdistelmille soveltuvien tieyhteyksien ja terminaalien sekä kuljetusten toimituskohteiden alueellisia kokonaisuuksia, joilla varmistetaan kuljetusinfrastruktuurin riittävä taso ja kattavuus taloudellisille HCT-kuljetusketjuille. Toisaalta HCT-käytävillä viitataan niihin tieyhteyksiin, jotka olisivat erityisesti määritelty yli 76-tonnisille HCT-kuljetuksille sopiviksi. 84-tonnisia HCT-yhdistelmiä liikennöi parhaillaan myös metsästä lähtevissä kuljetuksissa. Erillisten HCT-käytävien tarpeeseen vaikuttaa HCT-yhdistelmien tie- ja siltarasitus. Metsätehon selvityksessä (Venäläinen 2026) kuvattiin HCT-käytäväverkon tarpeeseen, sijoittumiseen ja toteutettavuuteen vaikuttavia tekijöitä sekä ehdotettiin periaatteita HCT-käytäväverkon määrittämiseen.

HCT-terminaaleilla tarkoitetaan tässä siirtokuormauspaikkoja, jotka ovat tarpeen kun metsäautoista siirretään puuta HCT-yhdistelmiin, jotka ovat liian isoja metsäautoteille. Siirtokuormauspaikkana voi toimia varsinaisen terminaalin lisäksi mikä tahansa alue, joka on riittävän iso esimerkiksi valmiiksi lastattujen perävaunujen lyhytaikaiseen säilytykseen. Mikäli HCT-yhdistelmien käyttö vakinaistetaan, tulee se lisäämään terminaalien tarvetta eri puolilla Suomea.
Ehdotettuja HCT-reittejä raakapuun, sivutuotehakkeen ja sahatavaran kuljetuksiin (Metsäteollisuus ry:n ja Metsäteho Oy:n kyselyt metsäyhtiöille). Lisäksi maksimissaan 84-tonnisille ehdotetaan tässä esitettyä laajempaa verkkoa (tarvittaessa olosuhteiden salliessa). Lähde: Venäläinen & Poikela 2019.
Metsäteho Oy:n ja Lappeenrannan teknillisen yliopiston puuterminaalihankkeessa tunnistettiin kriteereitä HCT-kuljetuskäytävien ja -terminaalien optimeille sijainneille. Lappeenrannan teknillinen yliopisto on toteuttanut HCT-terminaalien sijoittumismallinnukset Kaakkois-Suomen ja Itä-Suomen alueelle.
Käynnissä olevia ja valmistuneita tutkimuksia:
- Venäläinen, Pirjo (2026). HCT-käytäväverkoston määrittäminen. Metsätehon tuloskalvosarja 3/2026. Linkki julkaisuun
- Venäläinen, Pirjo & Poikela, Asko (2024). Puutavara- ja hakeajoneuvojen massojen noston vaikutukset – aiheen 4. väliraportti. Metsätehon raportti 270. Linkki julkaisuun
- Lappeenrannan teknillinen yliopisto (2017). Puutavaran terminaalipaikkojen simulointi Itä-Suomen alueelle. Linkki raporttiin (pdf 1,2 Mt)
- Venäläinen, Pirjo (2017). HCT-kuljetuskäytävät. Linkki julkaisuun. Lisätietoja: erikoistutkija Pirjo Venäläinen, Metsäteho Oy, puh. 040 8214 942
- Korpinen, Olli-Jussi & Aalto, Mika (2017). Optimoitu puuterminaaliverkosto. Linkki julkaisuun. Lisätietoja: projektitutkija Olli-Jussi Korpinen, Lappeenrannan teknillinen yliopisto, puh. 040 722 0539
Liikenteen turvallisuus ja sujuvuus
29.12.2022
Tutkimusten mukaan HCT-yhdistelmien liikennöinnin turvallisuudessa ei ole havaittu merkittäviä ongelmia tai eroja nyky-yhdistelmiin. HCT-kokeilulupia on haettu uusille yhdistelmille, joiden moottoriteho on korkea ja turvallisuusominaisuudet hyvät.Oulun yliopisto on tutkinut HCT-yhdistelmien stabiliteettia ja liikennöinnin sujuvuutta jo kokeilulupahakemusten yhteydessä sekä simuloimalla että ajoratatutkimuksena. HCT-kokeilulupa myönnetään vain riittävän stabiileiksi havaituille yhdistelmille. Yliopisto on lisäksi tutkinut HCT-yhdistelmien jarrutusmatkoja (varsinkin talviolosuhteissa), ajostabiliteettia, kääntyvyyttä, vetolaitteiden kulumista ja yhdistelmien rengastusvaihtoehtojen vaikutusta yhdistelmän liikkuvuuteen ja hallittavuuteen.
Ajoneuvoyhdistelmien ajovakautta (stabiliteettia) koskevat vaatimukset on kirjattu Traficomin vuonna 2021 antamaan määräykseen. Oulun yliopiston tätä ennen toteuttamissa stabiliteettisimuloinnissa käytetyt puutavaran HCT-yhdistelmätyypit eivät täysin vastanneet kokeiluyhdistelmien todellisia ominaisuuksia. Simuloinnissa ei ollut mukana hakeyhdistelmiä. Tulosten pohjalta ei ole arvioitu, millä HCT-kokeiluyhdistelmien muutoksilla nykyiset vaatimukset täyttyisivät. Ajoratakokeissa 104-tonnisen ja 32-metrisen HCT-yhdistelmän stabiliteetti oli lähellä 76-tonnisen ja 25-metrisen verrokin tuloksia.
Ajoneuvoyhdistelmien ja perävaunujen kääntyvyydestä on säädetty tieliikennelaissa ja Traficomin 2021 antamassa määräyksessä. Oulun yliopisto simuloi tutkimushankkeessaan erilaisten puutavarayhdistelmien kääntyvyyttä. Ko. yhdistelmätyyppien ominaisuudet eivät täysin vastanneet todellisten HCT-kokeiluyhdistelmien ominaisuuksia. Uuden tieliikennelain mukaisen kääntyvyysvaatimuksen täyttäisi ainakin yhdistelmätyypit, joiden ominaisuudet ovat lähellä P&A Transin, Malisen ja Moilaspoikien metsäautoja sekä Hannosen terminaaliautoa. Tulosten pohjalta ei ole arvioitu, millä edellytyksillä myös muiden HCT-kokeiluyhdistelmiä vastaavien yhdistelmätyyppien kääntyvyysvaatimukset täyttyisivät.
Oulun yliopiston (Linna ja Strandström 2019) tutkimuksessa tarkasteltiin 84-tonnisen yhdistelmän kääntyvyyttä metsäteiden kääntöpaikoilla ja liittymissä. Simulointien mukaan 84-tonninen puutavarayhdistelmä asettuu kääntyvyydeltään ja tilantarpeeltaan 76-tonnisten puutavarayhdistelmien ja 68/76-tonnisten hakeyhdistelmien väliin. 84-tonniset eivät aiheuta metsätieohjeistoon mitoitusmuutosten tarpeita 76-tonnisiin nähden.
Oulun yliopiston (Pirnes ym. 2018) tutkimuksessa verrattiin 84- ja 104-tonnisten puutavarayhdistelmien luistoa, kiihtyvyyttä ja jarrutusmatkoja 76-tonniseen yhdistelmään. Maantiellä talviolosuhteissa suoritetuissa tutkimuksissa yhdistelmien liikkuvuus (luisto) oli tavanomaisen liikenteen vaatimusten mukaista, vaikka luistoa havaittiin tietyissä tilanteissa. Suljetun alueen kokeissa 104-tonnisen kiihtyvyys 50 km/h:n ajonopeuteen talviolosuhteissa kesti 56 % kauemmin kuin 76-tonnisella yhdistelmällä. Jarrutusmatka oli 104-tonnisella noin 10 % pidempi kuin 76-tonnisella.
Aalto-yliopiston tutkimuksissa selvitettiin HCT-yhdistelmien vaikutusta liikennevirtaan ja liikenneturvallisuuteen. Tutkimuksessa verrattiin Ketosen Kuljetuksen HCT-yhdistelmän (kokonaispaino 104 tonnia, pituus 33 m), Orpen HCT-yhdistelmän (kokonaispaino 94 tonnia, pituus 31 m) ja normaalikokoisten verrokkiyhdistelmien (76 tonnia, 25 m) ohitustilanteita. HCT-yhdistelmien ohittaminen kesti keskimäärin 0,8-1,3 sekuntia kauemmin kuin verrokkiyhdistelmien ohittaminen. HCT- ja verrokkiyhdistelmä ohitettiin keskimäärin samalla ajonopeudella. Ohittavien ajoneuvojen nopeusrajoitusten ylitykset olivat suurempia verrokki- kuin HCT-yhdistelmien ohituksissa. Ohitusten jälkeiset turva-ajat vastaantulevaan liikenteeseen nähden olivat kunkin yhdistelmän osalta keskimäärin turvallisen pitkiä. HCT-yhdistelmien takana oli hieman enemmän muiden ajoneuvojen jonoutumista kuin verrokkiyhdistelmillä.
Taulukko alla. 94- ja 104-tonniset puutavarayhdistelmät liikennevirrassa ja erotus niiden samalla reitillä ajaviin 76-tonnisiin verrokkiyhdistelmiin. Lähde: Heinonen 2017.

Käynnissä olevia ja valmistuneita tutkimuksia:
- Linna, Juho & Strandström, Markus (2019). Ajoneuvoyhdistelmien kääntyvyys metsäteiden kääntöpaikoilla ja liittymissä. Linkki tulosaineistoon.
- Tuutijärvi, Miro-Tommi (2018). Puutavara-ajoneuvoyhdistelmätyyppien vertailu, mitoitustarkastelut ja mittaustulokset. Linkki tiivistelmään (pdf, 3 Mb).
- Tuutijärvi, Miro-Tommi, Erkkilä, Iiro & Haataja, Mauri (2018). HCT-puutavarayhdistelmien stabiliteettivertailu ja mitoitustarkastelu. Linkki julkaisuun (pdf, 6 Mb).
- Pirnes, Ville, Tuutijärvi, Miro-Tommi & Haataja, Mauri (2018). HCT-puutavarayhdistelmien ajoseuranta- ja stabiliteettitutkimus – Yhdistelmien liikkuvuus ja ajovakaus. Linkki julkaisuun (pdf, 3 Mb).
Lisätietoja: Oulun yliopisto projektipäällikkö Perttu Niskanen, puh. 050 350 6013 ja professori (emeritus) Mauri Haataja, puh. 050 350 2182 - Heinonen, Tommi (2017). High Capacity Transport -ajoneuvoyhdistelmien vaikutukset liikennevirtaan. Liikenneviraston tutkimuksia ja selvityksiä 48/2017. Linkki julkaisuun (pdf).
- Heinonen, Tommi (2016). High Capacity Transport -ajoneuvoyhdistelmien vaikutukset liikennevirtaan. Diplomityö. Linkki työhön (pdf). Lisätietoja: Aalto-yliopisto laboratorioinsinööri Åsa Enberg
Polttoaineen kulutus ja päästöt
24.4.2026
Yksittäisen ajoneuvon polttoaineen kulutukseen vaikuttavat useat itse ajoneuvosta, lastista, kuljetusreitistä, kuljettajasta ja ajo-olosuhteista johtuvat tekijät. Lisäksi tulee ottaa huomioon koko logistiikkaketjun muutosten vaikutukset polttoaineen kulutukseen (lastausasteiden kehitys, ajoneuvosuoritteen vähentyminen, erikokoisten ajoneuvojen hyödyntäminen erilaisilla kuljetusreiteillä jne.).
HCT-ajoneuvojen polttoaineen kulutuksen tutkiminen on tärkeää paitsi viranomaisten kannalta (ajoneuvojen päästöt ja niiden ympäristö- ja terveysvaikutukset) myös yritysten kannalta (polttoainekustannuksilla on suuri osuus ajoneuvojen kokonaiskustannuksista). Metsäteho Oy:n laskelmien mukaan HCT-yhdistelmät vähentävät polttoaineen kulutusta puutavarakuljetuksissa 3 – 10 % ja hakekuljetuksissa 4-20 % kuljetettua tuoretonnia kohden (100 – 300 km:n ajomatkalla HCT-yhdistelmän koosta riippuen).

Itä-Suomen yliopiston opinnäytetyössä (Juntunen 2023) vertailtiin erilaisia ainespuukuljetusten päästövähennyskeinoja. Normaaliin dieselkäyttöiseen puutavarayhdistelmän nähden kustannuksia vähensivät eniten HCT- ja kaasuyhdistelmät (100 km:n kuljetusmatkalla HCT-yhdistelmä 8 % kuljetettua kuutiota kohden ja kaasuyhdistelmä 3 % kuutiota kohden). Päästöjä tonnikilometriä kohden laskettuna vähensivät eniten 34 %:n bio-osuus dieselissä, rengaspaineen seurantajärjestelmä ja HCT-yhdistelmä.
Käynnissä olevia ja valmistuneita tutkimuksia:
- Venäläinen, Pirjo & Poikela, Asko (2026). Vähähiiliset ratkaisut puun logistiikkajärjestelmissä – Osa 2: Tiekuljetukset. Linkki julkaisuun Lisätietoja: Metsäteho Oy:n erikoistutkijat Pirjo Venäläinen, puh. 040 8214 942 ja Asko Poikela, puh. 040 530 7159
- Juntunen, Elina (2023) Ainespuun autokuljetusten päästövähennyskeinojen kustannusvaikutukset. Pro gradu, Itä-Suomen yliopisto. Linkki julkaisuun
- Kärhä, Kalle, Kortelainen, Emma, Karjalainen, Antti, Haavikko, Hanna & Palander, Teuvo (2022) Fuel consumption of a high-capacity transport (HCT) vehicle combination for industrial roundwood hauling: A case of laden timber truck combinations in Finland. International Journal of Forest Engineering. Linkki julkaisuun
- Söderena, Petri ym. (2021). Heavy-Duty Vehicles Performance Evaluation. Annex 57 – A Report from the Advanced Motor Fuels Technology Collaboration Programme. Linkki julkaisuun. Lisätietoja: VTT Oy:n erikoistutkija Petri Söderena.
- Sauna-aho, Jussi, Koskinen, Olavi H., Sauna-aho, Pasi & Rivanti, Tapio (2018). HCT- ja normaaliajoneuvojen energiankäyttö, hiilidioksidipäästöt ja tiekuormitus – Loppuraportti. Väyläviraston tutkimuksia ja selvityksiä 51/2018. Linkki julkaisuun
Tie- ja siltarasitus
13.2.2026
Yhteiskunnalle yli 76-tonnisista HCT-kuljetuksista suurin kustannusvaikutus syntyy mahdollisista silta- ja tieverkon painorajoituksia vähentävistä investoinneista (mikäli HCT-yhdistelmien todetaan aiheuttavan niiden tarvetta). HCT-yhdistelmien tierasitusvaikutuksia on tutkittu eniten kenttäkokeilla. Yhdistelmien vertailemisen helpottamiseksi Tampereen yliopiston tutkimuksissa on kehitetty tierasitusmallinnusta. Tierasitustutkimusten mukaan suuretkaan HCT-yhdistelmät eivät oletettavasti lisää merkittävästi paksupäällysteisten teiden urautumisnopeutta. Varsinkin ohuimmin rakennetuilla ja heikoilla pohjamailla sijaitsevilla teillä HCT-yhdistelmät aiheuttavat enemmän urasyvyyden kasvua kuin nykyiset yhdistelmät.
Taulukko. Yhteenveto urautumistutkimuksista. Tutkimusten toteutustavoissa oli eroja, joten tulokset eivät ole täysin keskenään vertailtavia.

Tampereen yliopisto on mallintanut HCT-yhdistelmien staattista tierasitusta ohutpäällysteisillä tieosuuksilla. Tuloksiin vaikutti merkittävästi mm. ykköspyöräakseleiden lukumäärä ja massan jakautuminen eri akseleille. Mallia tulisi jatkossa kehittää dynaamiseen ja viskoelastiseen suuntaan, jolloin pystyttäisiin ottamaan huomioon esim. teliakseleiden yhteisvaikutuksia sekä lämpötilan ja peräkkäisten akseliylitysten vaikutus venymiin. Myös sorateiden osalta lisätutkimus on tarpeen.
Yhteenveto Tampereen yliopiston tierasitusmallinnuksista.
| Yhdistelmän kokonaispaino t | Yhdistelmätyyppi | Deviatoristen muodonmuutosten ekvivalenttikertoimet* |
|---|---|---|
| 76 | Puutavara (metsäauto) | 7,5/7,6 |
| 84 | Puutavara (metsäauto) | 7,4/8,3 |
| 92 | Puutavara (terminaaliauto) | 7,9/8,5 |
| 100 | Puutavara (terminaaliauto) | 14,0/15,7 |
| 80 | Kontti | 14,8/16,8 |
| 85 | Kontti | 15,9/18,2 |
| 86 | Kontti | 8,3/9,7 |
Tampereen yliopisto tutki laskennallisesti HCT-yhdistelmien vaikutuksia siltarasituksiin teräsbetonisten kotelopalkkisiltojen osalta (Kalliovalkama 2022). Suurimmillaan HCT-yhdistelmät lisäsivät rasitusta yli 10 % (varsinkin pitkillä silloilla). Vertailun useimmilla 84-tonnisilla ja lyhyillä silloilla rasitusero jää selvästi tätä pienemmäksi. Tutkimuksessa ehdotettiin jatkotoimenpiteenä koekuormituksia, joilla voitaisiin täsmentää ja täydentää laskennallisen tutkimuksen tuloksia.
Väyläviraston tilaamassa koekuormitustutkimuksessa (Finerus 2025) tarkasteltiin 92-tonnisen hakeauton, 85-tonnisen metsäauton ja kahden 76-tonnisen puutavara-auton siltarasituksia kahdella eri kotelopalkkisillalla. Tutkimuksen mukaan yhdistelmän kokonaismassalla oli vain vähäinen vaikutus sillan taipumiin ja venymiin. Merkittävästi halkeilleessa sillan osassa HCT-yhdistelmän vaikutus oli kuitenkin suurempi. Yhdistelmien pienet erot johtuivat ajoneuvoyhdistelmien samantasoisesta kuorman intensiteetistä (tonnia per yhdistelmän pituuden metri). Siltojen välitukialueiden rasituksen kannalta tulee välttää massakeskittymiä (esim. useita raskaita akseleita lyhyellä etäisyydellä). Soveltuvista ajoneuvodimensioista ei voi tutkimuksen pohjalta antaa yksityiskohtaisempia johtopäätöksiä mm. eri siltojen toisistaan poikkeavan käyttäytymisen takia.
Tutkimuksessa verrattiin siinä kehitettyjen kotelopalkkisiltojen rakennemallien ja koekuormitusten tuloksia keskenään. Mallien ja koekuormitusten tulokset olivat keskenään vertailukelpoisia, ja rakennemallien todettiin soveltuvan riittävän hyvin kotelopalkkisiltojen tarkasteluun. Tuloksissa havaittiin myös eroja mm. siltojen halkeamakohdissa ja raskaammissa kuormitustilanteissa. Myös rakennemallien mukaan eri ajoneuvoyhdistelmien taipumavaikutusten erot olivat pieniä. Jatkotutkimustarpeena nostettiin esille mm. ajoneuvojen sysäysvaikutusten tutkiminen (koekuormitusten toteuttaminen tätä tutkimusta korkeammilla ajonopeuksilla).
Käynnissä olevia ja valmistuneita tutkimuksia:
- Tampereen yliopiston kesällä 2026 valmistuva tutkimus tien rakenneominaisuuksien vaikutuksesta tien urautumisriskiin
- Venäläinen, Pirjo & Poikela, Asko (2026) Puutavara- ja hakeajoneuvojen massojen noston vaikutukset – Aiheen 5. väliraportti. Metsätehon raportti 279. Linkki julkaisuun
- Isometsä, Jukka; Kolisoja, Pauli & Vuorimies, Nuutti (2025). HCT-yhdistelmien tierasitusmallinnukset. Tampereen yliopisto. Linkki julkaisuun.
- Finerus, Olli (2025) Jatkuvan teräsbetonisen kotelopalkkisillan toiminnan analysointi koekuormitusten avulla. Linkki julkaisuun.
- Isometsä, Jukka; Kolisoja, Pauli & Vuorimies, Nuutti (2024). HCT- ja verrokkiyhdistelmien tierasitusmallinnukset. Tampereen yliopisto. Linkki julkaisuun ja linkki tiivistelmään.
- Knuuti, Markku & Sirvio Konsta (2024). T-OMHA / Kirjallisuusselvitys HCT-rekkojen vaikutuksesta tiestön kuntoon. Väyläviraston julkaisuja 37/2024. Linkki julkaisuun
- Isometsä Jukka (2024) Raskaan liikenteen kuormitusvasteiden mallintaminen. Diplomityö, Tampereen yliopisto, Rakennetun ympäristön tiedekunta. Linkki julkaisuun
- Niskanen, Perttu; Pirnes, Ville; Pekkala, Veikko; Rasi-Koskinen, Hanna; Tuutijärvi, Miro-Tommi; Jokinen, Karoliina; Sukuvaara, Timo; Karsisto, Virve; Mäenpää, Kari (2024). Winter Premium – Loppuraportti. Raportti n:o 13. Oulun yliopisto, Konetekniikka. Linkki julkaisuun Lisätietoja: Oulun yliopisto opettaja Perttu Niskanen, puh. 050 350 6013
- Vuorimies, Nuutti; Varin, Petri & Kolisoja, Pauli (2023). Ohutpäällysteisen tierakenteen rasittumisen vertailututkimus 2022: Kuormituskokeet 92- ja 75-tonnisilla ajoneuvoyhdistelmillä. Väyläviraston julkaisuja 59/2023. Linkki julkaisuun Lisätietoja: Tampereen yliopiston projektipäällikkö Nuutti Vuorimies, puh. 040 720 3050 & professori Pauli Kolisoja, puh. 040 585 1025
- Kalliovalkama, Reetta (2022). Teräsbetonisen kotelopoikkileikkauksen toiminta ja HCT-yhdistelmien vaikutukset rasituksiin. Diplomityö, Tampereen yliopisto. Linkki julkaisuun Lisätietoja: Reetta Kalliovalkama [email protected], professori Anssi Laaksonen
- Vuorimies, Nuutti; Kurki, Altti; Kolisoja, Pauli; Varin, Petri; Saarenketo, Timo; Pekkala, Veikko & Haataja, Mauri (2019). Tierakenteen rasittuminen yli 76 tonnin HCT-yhdistelmien koekuormituksissa vuosina 2015-2018 – Yhteenvetoraportti. Väyläviraston tutkimuksia 21/2019. Linkki julkaisuun
- Vuorimies, Nuutti; Kurki, Altti; Kolisoja, Pauli; Varin, Petri & Saarenketo, Timo (2019). Tierakenteen rasittuminen yli 76 tonnin HCT-yhdistelmien koekuormituksissa vuonna 2018. Väyläviraston tutkimuksia 17/2019. Linkki julkaisuun
- Pekkala, Veikko & Haataja, Mauri (2019). HCT-yhdistelmien vaikutus soratien urautumiseen. Raportti n:o 10, Oulun yliopisto Konetekniikka. Linkki julkaisuun
- Vuorimies, Nuutti, Kalliainen, Antti, Rossi, Jonna, Kurki, Altti, Kolisoja, Pauli, Varin, Petri & Saarenketo, Timo (2018).Tierakenteen rasittuminen yli 76 tonnin HCT-yhdistelmien koekuormituksissa vuosina 2015-2017. Liikenneviraston tutkimuksia ja selvityksiä 63/2018. Linkki julkaisuun
- Sauna-aho, Jussi, Koskinen, Olavi H., Sauna-aho, Pasi & Rivanti, Tapio (2018). HCT- ja normaaliajoneuvojen energiankäyttö, hiilidioksidipäästöt ja tiekuormitus – Loppuraportti. Väyläviraston tutkimuksia ja selvityksiä 51/2018. Linkki julkaisuun
- Pekkala, Veikko (2018). Tien rasitukset tieverkossa – HCT- ja muiden puunkuljetustenyhdistelmien vaikutusten vertailu. >Linkki julkaisuun (pdf, 10 Mb) >Linkki tiivistelmään (pdf, 0,8 Mb). Lisätietoja: Oulun yliopisto tohtorikoulutettava Veikko Pekkala, puh. 050 354 7352 ja professori (emeritus) Mauri Haataja, puh. 050 350 2182
Ajoneuvorakenteet ja ajoneuvojen kestävyys
23.9.2019
Ajoneuvoyhdistelmän kokonaispainon kasvaessa on tarpeen tutkia, miten yhdistelmän rakenteet (varsinkin vetolaitteet) rasittuvat. Toisaalta yhdistelmän omapainoa vähentämällä voidaan kasvattaa hyötykuorman suhteellista osuutta.
Oulun yliopisto (Pirnes & Haataja 2018) vertasi 104-tonnisen, kahden 84-tonnisen ja 76-tonnisen puutavarayhdistelmän perävaunujen vetoaisoihin kohdistuneita voimia. Korkeampitaajuisissa voimissa yhdistelmien välillä ei havaittu merkittäviä eroja. Matalataajuisissa, yhdistelmän kiihtyvyyksissä ja hidastuksissa ilmenevissä voimissa oli jonkin verran, mutta ei merkittävästi eroja. Oulun yliopisto seurasi 104-tonnisen puutavarayhdistelmän renkaiden kulumista, mutta ei verrannut sitä muun kokoisiin yhdistelmiin.
Käynnissä olevia ja valmistuneita tutkimuksia:
- Pirnes, Ville & Haataja, Mauri (2018). HCT-puutavarayhdistelmien ajoseuranta- ja stabiliteettitutkimus – Vetoaisamittaukset. >Linkki julkaisuun (pdf, 1,5 Mb). Lisätietoja: Oulun yliopisto projektipäällikkö Perttu Niskanen, puh. 050 350 6013 ja professori (emeritus) Mauri Haataja, Oulun yliopisto, puh. 050 350 2182
Linkkejä
- Traficom/HCT: www.traficom.fi/fi/pidemmat-ja-raskaammat-hct-rekat
- Metsäteho Oy:n HCT-seminaari 8.6.2022: HCT-tutkimusten seminaari 8.6.2022 – Metsäteho (metsateho.fi)
- Ruotsin HCT-tutkimus (Skogforsk): www.skogforsk.se/EnergiEffektivaTransporter
Puutavaran HCT-yhdistelmien kokeilut
Puutavaran HCT-yhdistelmien kokeilut löydät täältä.
Lisätietoja puutavaran HCT-tutkimuksesta
Erikoistutkija Pirjo Venäläinen
Metsäteho Oy
puh. 040 8214 942
[email protected]
